This is the first post in a series introducing time-series forecasting with torch. It does assume some prior experience with torch and/or deep learning. But as far as time series are concerned, it starts right from the beginning, using recurrent neural networks (GRU or LSTM) to predict how something develops in time.
In this post, we build a network that uses a sequence of observations to predict a value for the very next point in time. What if we’d like to forecast a sequence of values, corresponding to, say, a week or a month of measurements?
One thing we could do is feed back into the system the previously forecasted value; this is something we’ll try at the end of this post. Subsequent posts will explore other options, some of them involving significantly more complex architectures. It will be interesting to compare their performances; but the essential goal is to introduce some torch “recipes” that you can apply to your own data.
We start by examining the dataset used. It is a low-dimensional, but pretty polyvalent and complex one.
Time-series inspection#
The vic_elec dataset, available through package tsibbledata, provides three years of half-hourly electricity demand for Victoria, Australia, augmented by same-resolution temperature information and a daily holiday indicator.
|
|
Rows: 52,608
Columns: 5
$ Time <dttm> 2012-01-01 00:00:00, 2012-01-01 00:30:00, 2012-01-01 01:00:00,…
$ Demand <dbl> 4382.825, 4263.366, 4048.966, 3877.563, 4036.230, 3865.597, 369…
$ Temperature <dbl> 21.40, 21.05, 20.70, 20.55, 20.40, 20.25, 20.10, 19.60, 19.10, …
$ Date <date> 2012-01-01, 2012-01-01, 2012-01-01, 2012-01-01, 2012-01-01, 20…
$ Holiday <lgl> TRUE, TRUE, TRUE, TRUE, TRUE, TRUE, TRUE, TRUE, TRUE, TRUE, TRU…
Depending on what subset of variables is used, and whether and how data is temporally aggregated, these data may serve to illustrate a variety of different techniques. For example, in the third edition of
Forecasting: Principles and Practice
daily averages are used to teach
quadratic regression with ARMA errors
. In this first introductory post though, as well as in most of its successors, we’ll attempt to forecast Demand without relying on additional information, and we keep the original resolution.
To get an impression of how electricity demand varies over different timescales. Let’s inspect data for two months that nicely illustrate the U-shaped relationship between temperature and demand: January, 2014 and July, 2014.
First, here is July.
|
|
It’s winter; temperature fluctuates below average, while electricity demand is above average (heating). There is strong variation over the course of the day; we see troughs in the demand curve corresponding to ridges in the temperature graph, and vice versa. While diurnal variation dominates, there also is variation over the days of the week. Between weeks though, we don’t see much difference.
Compare this with the data for January:
|
|
We still see the strong circadian variation. We still see some day-of-week variation. But now it is high temperatures that cause elevated demand (cooling). Also, there are two periods of unusually high temperatures, accompanied by exceptional demand. We anticipate that in a univariate forecast, not taking into account temperature, this will be hard – or even, impossible – to forecast.
Let’s see a concise portrait of how Demand behaves using feasts::STL(). First, here is the decomposition for July:
|
|
And here, for January:
Both nicely illustrate the strong circadian and weekly seasonalities (with diurnal variation substantially stronger in January). If we look closely, we can even see how the trend component is more influential in January than in July. This again hints at much stronger difficulties predicting the January than the July developments.
Now that we have an idea what awaits us, let’s begin by creating a torch dataset.
Data input#
Here is what we intend to do. We want to start our journey into forecasting by using a sequence of observations to predict their immediate successor. In other words, the input (x) for each batch item is a vector, while the target (y) is a single value. The length of the input sequence, x, is parameterized as n_timesteps, the number of consecutive observations to extrapolate from.
The dataset will reflect this in its .getitem() method. When asked for the observations at index i, it will return tensors like so:
|
|
where start:end is a vector of indices, of length n_timesteps, and end+1 is a single index.
Now, if the dataset just iterated over its input in order, advancing the index one at a time, these lines could simply read
|
|
Since many sequences in the data are similar, we can reduce training time by making use of a fraction of the data in every epoch. This can be accomplished by (optionally) passing a sample_frac smaller than 1. In initialize(), a random set of start indices is prepared; .getitem() then just does what it normally does: look for the (x,y) pair at a given index.
Here is the complete dataset code:
|
|
You may have noticed that we normalize the data by globally defined train_mean and train_sd. We yet have to calculate those.
The way we split the data is straightforward. We use the whole of 2012 for training, and all of 2013 for validation. For testing, we take the “difficult” month of January, 2014. You are invited to compare testing results for July that same year, and compare performances.
|
|
Now, to instantiate a dataset, we still need to pick sequence length. From prior inspection, a week seems like a sensible choice.
|
|
Now we can go ahead and create a dataset for the training data. Let’s say we’ll make use of 50% of the data in each epoch:
|
|
8615
Quick check: Are the shapes correct?
|
|
$x
torch_tensor
-0.4141
-0.5541
[...] ### lines removed by me
0.8204
0.9399
... [the output was truncated (use n=-1 to disable)]
[ CPUFloatType{336,1} ]
$y
torch_tensor
-0.6771
[ CPUFloatType{1} ]
Yes: This is what we wanted to see. The input sequence has n_timesteps values in the first dimension, and a single one in the second, corresponding to the only feature present, Demand. As intended, the prediction tensor holds a single value, corresponding– as we know – to n_timesteps+1.
That takes care of a single input-output pair. As usual, batching is arranged for by torch’s dataloader class. We instantiate one for the training data, and immediately again verify the outcome:
|
|
$x
torch_tensor
(1,.,.) =
0.4805
0.3125
[...] ### lines removed by me
-1.1756
-0.9981
... [the output was truncated (use n=-1 to disable)]
[ CPUFloatType{32,336,1} ]
$y
torch_tensor
0.1890
0.5405
[...] ### lines removed by me
2.4015
0.7891
... [the output was truncated (use n=-1 to disable)]
[ CPUFloatType{32,1} ]
We see the added batch dimension in front, resulting in overall shape (batch_size, n_timesteps, num_features). This is the format expected by the model, or more precisely, by its initial RNN layer.
Before we go on, let’s quickly create datasets and dataloaders for validation and test data, as well.
|
|
Model#
The model consists of an RNN – of type GRU or LSTM, as per the user’s choice – and an output layer. The RNN does most of the work; the single-neuron linear layer that outputs the prediction compresses its vector input to a single value.
Here, first, is the model definition.
|
|
Most importantly, this is what happens in forward().
-
The RNN returns a list. The list holds two tensors, an output, and a synopsis of hidden states. We discard the state tensor, and keep the output only. The distinction between state and output, or rather, the way it is reflected in what a
torchRNN returns, deserves to be inspected more closely. We’ll do that in a second.1x <- self$rnn(x)[[1]] -
Of the output tensor, we’re interested in only the final time-step, though.
1x <- x[ , dim(x)[2], ] -
Only this one, thus, is passed to the output layer.
1x %>% self$output() -
Finally, the said output layer’s output is returned.
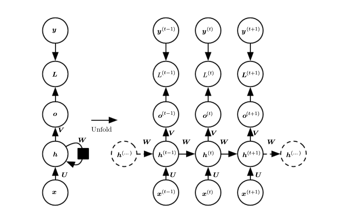
Now, a bit more on states vs. outputs. Consider Fig. 1, from Goodfellow et al. (2016).
Let’s pretend there are three time steps only, corresponding to $t-1$, $t$, and $t+1$. The input sequence, accordingly, is composed of $x_{t-1}$, $x_{t}$, and $x_{t+1}$.
At each $t$, a hidden state is generated, and so is an output. Normally, if our goal is to predict $y_{t+2}$, that is, the very next observation, we want to take into account the complete input sequence. Put differently, we want to have run through the complete machinery of state updates. The logical thing to do would thus be to choose $o_{t+1}$, for either direct return from forward() or for further processing.
Indeed, return $o_{t+1}$ is what a Keras LSTM or GRU would do by default.1 Not so its torch counterparts. In torch, the output tensor comprises all of $o$. This is why, in step two above, we select the single time step we’re interested in – namely, the last one.
In later posts, we will make use of more than the last time step. Sometimes, we’ll use the sequence of hidden states (the $h$s) instead of the outputs (the $o$s). So you may feel like asking, what if we used $h_{t+1}$ here instead of $o_{t+1}$? The answer is: With a GRU, this would not make a difference, as those two are identical. With LSTM though, it would, as LSTM keeps a second, namely, the “cell”, state2.
On to initialize(). For ease of experimentation, we instantiate either a GRU or an LSTM based on user input. Two things are worth noting:
-
We pass
batch_first = TRUEwhen creating the RNNs. This is required withtorchRNNs when we want to consistently have batch items stacked in the first dimension. And we do want that; it is arguably less confusing than a change of dimension semantics for one sub-type of module. -
num_layerscan be used to build a stacked RNN, corresponding to what you’d get in Keras when chaining two GRUs/LSTMs (the first one created withreturn_sequences = TRUE). This parameter, too, we’ve included for quick experimentation.
Let’s instantiate a model for training. It will be a single-layer GRU with thirty-two units.
|
|
Training#
After all those RNN specifics, the training process is completely standard.
|
|
Epoch 1, training: loss: 0.21908
Epoch 1, validation: loss: 0.05125
Epoch 2, training: loss: 0.03245
Epoch 2, validation: loss: 0.03391
Epoch 3, training: loss: 0.02346
Epoch 3, validation: loss: 0.02321
Epoch 4, training: loss: 0.01823
Epoch 4, validation: loss: 0.01838
Epoch 5, training: loss: 0.01522
Epoch 5, validation: loss: 0.01560
Epoch 6, training: loss: 0.01315
Epoch 6, validation: loss: 0.01374
Epoch 7, training: loss: 0.01205
Epoch 7, validation: loss: 0.01200
Epoch 8, training: loss: 0.01155
Epoch 8, validation: loss: 0.01157
Epoch 9, training: loss: 0.01118
Epoch 9, validation: loss: 0.01096
Epoch 10, training: loss: 0.01070
Epoch 10, validation: loss: 0.01132
Epoch 11, training: loss: 0.01003
Epoch 11, validation: loss: 0.01150
Epoch 12, training: loss: 0.00943
Epoch 12, validation: loss: 0.01106
Epoch 13, training: loss: 0.00922
Epoch 13, validation: loss: 0.01069
Epoch 14, training: loss: 0.00862
Epoch 14, validation: loss: 0.01125
Epoch 15, training: loss: 0.00842
Epoch 15, validation: loss: 0.01095
Epoch 16, training: loss: 0.00820
Epoch 16, validation: loss: 0.00975
Epoch 17, training: loss: 0.00802
Epoch 17, validation: loss: 0.01120
Epoch 18, training: loss: 0.00781
Epoch 18, validation: loss: 0.00990
Epoch 19, training: loss: 0.00757
Epoch 19, validation: loss: 0.01017
Epoch 20, training: loss: 0.00735
Epoch 20, validation: loss: 0.00932
Epoch 21, training: loss: 0.00723
Epoch 21, validation: loss: 0.00901
Epoch 22, training: loss: 0.00708
Epoch 22, validation: loss: 0.00890
Epoch 23, training: loss: 0.00676
Epoch 23, validation: loss: 0.00914
Epoch 24, training: loss: 0.00666
Epoch 24, validation: loss: 0.00922
Epoch 25, training: loss: 0.00644
Epoch 25, validation: loss: 0.00869
Epoch 26, training: loss: 0.00620
Epoch 26, validation: loss: 0.00902
Epoch 27, training: loss: 0.00588
Epoch 27, validation: loss: 0.00896
Epoch 28, training: loss: 0.00563
Epoch 28, validation: loss: 0.00886
Epoch 29, training: loss: 0.00547
Epoch 29, validation: loss: 0.00895
Epoch 30, training: loss: 0.00523
Epoch 30, validation: loss: 0.00935
Loss decreases quickly, and we don’t seem to be overfitting on the validation set.
Numbers are pretty abstract, though. So, we’ll use the test set to see how the forecast actually looks.
Evaluation#
Here is the forecast for January, 2014, thirty minutes at a time.
|
|
Overall, the forecast is excellent, but it is interesting to see how the forecast “regularizes” the most extreme peaks. This kind of “regression to the mean” will be seen much more strongly in later setups, when we try to forecast further into the future.
Can we use our current architecture for multi-step prediction? We can.
One thing we can do is feed back the current prediction, that is, append it to the input sequence as soon as it is available. Effectively thus, for each batch item, we obtain a sequence of predictions in a loop.
We’ll try to forecast 336 time steps, that is, a complete week.
|
|
For visualization, let’s pick three non-overlapping sequences.
|
|
Even with this very basic forecasting technique, the diurnal rhythm is preserved, albeit in a strongly smoothed form. There even is an apparent day-of-week periodicity in the forecast. We do see, however, very strong regression to the mean, even in loop instances where the network was “primed” with a higher input sequence.
Conclusion#
Hopefully this post provided a useful introduction to time series forecasting with torch. Evidently, we picked a challenging time series – challenging, that is, for at least two reasons:
-
To correctly factor in the trend, external information is needed: external information in form of a temperature forecast, which, “in reality”, would be easily obtainable.
-
In addition to the highly important trend component, the data are characterized by multiple levels of seasonality.
Of these, the latter is less of a problem for the techniques we’re working with here. If we found that some level of seasonality went undetected, we could try to adapt the current configuration in a number of uncomplicated ways:
-
Use an LSTM instead of a GRU. In theory, LSTM should better be able to capture additional lower-frequency components due to its secondary storage, the cell state.
-
Stack multiple layers of GRU/LSTM. In theory, this should allow for learning a hierarchy of temporal features, analogously to what we see in a convolutional neural network.
To address the former obstacle, bigger changes to the architecture would be needed. We may attempt to do that in a later, “bonus”, post. But in the upcoming installments, we’ll first dive into often-used techniques for sequence prediction, also porting to numerical time series things that are commonly done in natural language processing.
Thanks for reading!
Photo by Nick Dunn on Unsplash
Goodfellow, Ian, Yoshua Bengio, and Aaron Courville. 2016. Deep Learning. MIT Press.
